martes, 16 de agosto de 2016
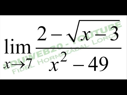
Matematica I Limites de la forma 0/0 Cero sobre cero Video 12
No hay comentarios:
Publicar un comentario
Entrada más reciente
Entrada antigua
Inicio
Suscribirse a:
Enviar comentarios (Atom)
No hay comentarios:
Publicar un comentario